Infoveranstaltung Master in Recht

An dieser Infoveranstaltung erhalten Sie nützliche Informationen über die FernUni Schweiz, den Studiengang Master in Recht und das flexible…

KidsUni : Mais d'où vient le cacao dans le chocolat suisse ?

Comment travaille une historienne? Linda te fait participer à sa démarche et ses recherches.

Daniel Funck: Geometry of Steinberg deformations

Number theory seminar by Daniel Funck (University of Tübingen)

Secrets et dons: d’ombres et de lumières

Dialogue entre histoire et anthropologie avec Madline Favre et Magali Jenny.

Forum Iuris - March

The Faculty of Law at FernUni is launching “Forum Iuris,” the Faculty's research colloquium. This forum takes place monthly during the academic…

Balade contée sur le lac souterrain de St-Léonard

Laissez-vous embarquer par les contes et légendes de la Compagn'Ihiliste.

UNITE Spring Semester 2: Nonlinear Optimization: Motivation, Challenges, and Basic Methods

"Nonlinear Optimization: Motivation, Challenges, and Basic Methods" by Dr Nikolaos Tsipinakis.

Kaixing Cao: A Motivic Comparison of p-adic Cohomology Theories for Rigid Analytic Varieties

Number theory seminar by Kaixing Cao (University of Milano)

ColLab History Seminar: Izabel Barros

A workshop-style research seminar on Swiss global history and related themes

Colloque: Quelles histoires économiques du Valais ? (19-20ème siècles)

Co-organisé par UniDistance Suisse et le Centre Régional d'Etudes des Populations Alpines, ce colloque offre un panorama des recherches récentes sur…

Behavioural Economics Reading Group

Join us for the next session of the Behavioural Economics Reading Group.

Uni60+: Terrorist und CIA-Agent

Historiker und Buchautor Dr. Adrian Hänni präsentiert Ihnen die unglaubliche Geschichte des Schweizers Bruno Breguet.

Protéines : le grand malentendu

Difficile d'échapper à la déferlante d'injonctions à manger davantage de protéines. Les femmes couvrent-elles leurs besoins ? Les suppléments en…

Erman Isik: The growth of Tate-Shafarevich groups of p-supersingular elliptic curves over anticyclotomic Zp-extensions at inert primes

Number theory seminar by Erman Isik (Bilkent University)

ColLab History Seminar: Amal Shahid & Soni

A workshop-style research seminar on Swiss global history and related themes

IT Introduction Course for PhD Students

This course is designed to train early-career researchers on working with Linux-based research server. It will cover the following topics.

Economics Research Seminar

Don’t miss the next session of the Economics Research Seminar.

Psychology Seminar Series - Neural correlates of effort-based decision-making

Talk by Nicolas Clairis, UniGe

Frederick Thogersen: Anti-cyclotomic p-adic L-functions for U(2n)

Number theory seminar by Frederick Thogersen (University of Nottingham)

ColLab History Seminar: Bernhard C. Schär & Caroline Montebello

A workshop-style research seminar on Swiss global history and related themes

Workshop: Corporations, Labor and Human Rights: Historical and Legal Perspectives

This workshop brings together historians and legal scholars to analyse the entanglements between labor, corporations, and human rights.

UNITE Spring Semester 1: A journey through academic resilience

"How to fail again and again: A journey through academic resilience" is a workshop dedicated to an essential yet often invisible dimension of academic…

Econometrics Reading Group

Come join the next Econometrics Reading Group.

Capacities as a complete symplectic invariant

Talk by Ziltener Fabian, ETHZ

Gal Porat : Solid Locally Analytic Representations in Mixed Characteristic

Number theory seminar by Gal Porat (Weizmann Institute of Science)

Forum Iuris - Februar

Die Fakultät Recht der FernUni veranstaltet mit dem Forum Iuris ihr Forschungskolloquium. Das Forum findet während des akademischen Semesters…

Adolescence, écrans et santé mentale : questionner nos représentations

Ce webinaire propose un éclairage nuancé sur les liens entre usages numériques et santé mentale chez les jeunes.

Uni60+: Zwei Klicks voraus – Sicher durch den digitalen Alltag

Lernen Sie in diesem Webinar, wie Sie digitale Risiken früh erkennen und mit Leichtigkeit clever darauf reagieren.

ColLab History Seminar: Michael Schmitz

A workshop-style research seminar on Swiss global history and related themes

KinderUni: Darf man das? Komme ich ins Gefängnis, wenn ich fremde Äpfel pflücke…?

Darf man Äpfel vom Baum eines Nachbarn pflücken? Strafrecht betrifft uns alle und das fast täglich.

Matteo Longo: p-adic families of Heegner points on Shimura curves and p-adic L-functions

Number theory seminar by Matteo Longo (University of Padova)

Behavioural Economics Reading Group

Join us for the next session of the Behavioural Economics Reading Group.

Uni60+: Frage-Antwort-Runde zu Zoom

Sie haben Fragen zum Computerprogramm Zoom? Nutzen Sie dieses technische Atelier, um Zoom zu testen und Ihre Fragen zu stellen.

Economics Research Seminar

Talk by Moti Michaeli (University of Haifa).

Psychology Seminar Series - Work-related boredom uncovered: Spotlight on causes, consequences, and moderating factors

Talk by Madelon van Hooff, PhD, Open Universiteit, Heerlen, The Netherlands

KidsUni: A quoi sert mon cerveau?

Découvrons comment notre cerveau fonctionne et comment il produit et contrôle nos comportements et nos souvenirs.

Economics Research Seminar

Talk by Michael Kosfeld (Goethe University, Frankfurt).

Managing legal materials and citations with JurisM (Zotero)

Das Event stellt Jurism vor, ein auf Zotero basierendes Tool für die Schweizer Rechtswissenschaft zur effizienten Verwaltung juristischer Quellen und…

Psychology Seminar Series - Cross-modal and emotional influences on visual cortex and eye movements

Talk by Petra Vetter, Visual and Cognitive Neuroscience Lab, Department of Psychology, University of Fribourg

Uni60+: Lachfalten statt Sorgenfalten – Gesundheit 60+

Starten Sie mit einem Lächeln ins 2026! Freuen Sie sich auf eine unterhaltsame Darbietung rund um das Thema Gesundheit 60+.

Photo de Cathrine Konopatsch

Antrittsvorlesung : Mit der Kanone des Strafrechts auf Spatzen? - Eine kritische Würdigung des Straftatbestandes des Identitätsmissbrauchs i.S.d. Art. 179decies StGB

Prof. Dr. Cathrine Konopatsch präsentiert ihre Antrittsvorlesung zum Thema „Mit der Kanone des Strafrechts auf Spatzen?

- Eine kritische Würdigung…

Webinaire gratuit: Se former à l’intelligence émotionnelle pour mieux transformer son contexte professionnel

Explorons ensemble ce que l’intelligence émotionnelle peut changer — en nous, dans nos équipes et dans nos organisations.

Enrico Da Ronche: Kolyvagin's conjecture for non-ordinary modular forms

Number theory seminar by Enrico Da Ronche (University of Genova)

L'Économie de la Désinformation à l'Ère Numérique

À l’ère numérique, la circulation instantanée de l’information bouleverse les équilibres économiques et sociaux. Comment se forment et se diffusent…

Forum Iuris

Die Fakultät Recht der FernUni lanciert "Forum Iuris“, das Forschungskolloquium der Fakultät. Das Forum findet während des akademischen Semesters…

Uni60+: Lebenszufriedenheit und gesundes Altern

Älter werden, aber sich jünger fühlen – geht das? Erfahren Sie was «Alter(n)» ist und was es bedeutet, gesund bzw. gut zu altern.

Tops & Flops Alumni in Psychologie

Gönnen Sie sich eine inspirierende Mittagspause und lassen Sie sich von der Geschichte von Werner Krammel begeistern! Im Frühlingssemester 2015…

Psychology Seminar Series - Brains, Tools, and AI: Understanding Why We Do and Do Not Offload Cognition

Talk by Dr. Sandra Grinschgl (Researcher and Lecturer with Tenure Track and University of Bern)

Dominik Bullach: On Euler systems and Nekovář--Selmer complexes

Number theory seminar by Dominik Bullach (ICMAT Madrid)

Conference & Workshop : Academic integrity and remote assessment - Lessons from Australia’s experience of assessment reform

How can we ensure the integrity of remote assessments in a time of generative AI?

Frauen am Ball: Die hindernisreiche Geschichte des Frauenfussballs

Im Juli 2025 erlebten wir mit der UEFA Women's EURO ein Sommermärchen. Aber der Weg zu diesem Erfolg des Frauenfussballs war lang.

Lorenzo La Porta: Singularities in the Ekedahl--Oort stratification

Number theory seminar by Lorenzo La Porta (University of Padova)

Psychology Seminar Series - Seeing the trees through the forest: Spatiotemporal routines in visual perception

Experimental paradigms in cognitive neuroscience often rely on reductionist designs, presenting isolated stimuli stripped of spatial and temporal…

KinderUni: Warum wir lachen

In dieser Ausgabe der KinderUni wird Prof. Dr. Andrea Samson mit euch der Frage nachgehen, warum wir lachen. Was löst lachen aus?

Ein Tag in der Forschung an der FernUni Schweiz 2025

Wie sieht der Arbeitstag von Forschenden aus? Wie nutzen sie virtuellen Realität für die Forschung?

Hao Peng: On the Beilinson-Bloch-Kato conjecture for polarized motives

Number theory seminar by Hal Peng (MIT)

Uni60+: Fit und gesund im besten Alter

Dank der richtigen Ernährung und Bewegung können wir fit und gesund bleiben, trotz altersbedingten Veränderungen. Hören Sie wie.

1st Valais Econometrics Workshop

The workshop brings together econometricians from Switzerland and Europe for research presentations and discussions.

Psychology Seminar Series - 3N: Integrating Neuroscience, Neuroimaging and Neurotechnology to enrich models of development and learning

 

KinderUni : Wie reisten Briefe vor langer Zeit? Geschichten über das Wallis erforschen

Woher wissen wir, was in der Vergangenheit passiert ist? Was können wir aus der Geschichte lernen?

Xiaoyu Zhang: Distribution of reductions of abelian varieties modulo a prime

Number theory seminar by Xiaoyu Zhang (Universität Duisburg-Essen)

Rencontre annuelle des Alumni: Temps perdu, temps gagné

Une fois par an, le réseau Alumni organise à Lausanne une rencontre en présentiel qui permet aux Alumni d’UniDistance Suisse de réseauter avec les…

Kernel Interpolation for Geometric Problems

Talk by Prof. Patrick Guidotti, University of California, Irvine

Yu-Sheng Lee: CM congruences and anticyclotomic Euler systems

Number theory seminar by Yu-Sheng Lee (University of Michigan)

Andrew Graham: P-adic Fourier theory in families

Number theory seminar by Andrew Graham (Oxford)

Arithmetica Transalpina 2025

This is the fifth meeting of the Arithmetica Transalpina, a joint Number Theory seminar between ETH Zürich, FernUni Schweiz, the Universities of…

Cecilia Busuioc: A Modular Symbol with Values in Beilinson-Kato Distributions

Number theory seminar by Cecilia Busuioc (UCL)

Danke für nix!

Wie oft hast Dich schon so angestrengt – und keinen Dank bekommen? Wie oft hast Du Dir fiese Kritik angehört, nur weil jemand überlastet war und Du…

Histoire publique : raconter les coulisses d’un festival international

Découvrez l'approche originale du projet piazza nostra autour de l’histoire du Festival du film de Locarno.

KinderUni: Die Welt der Geheimnachrichten: Geheimnisse verschlüsseln und entschlüsseln

Wie verschlüsselt man Geheimnachrichten mit Mathematik zu einem Geheimtext und wie entschlüsselt man sie wieder?

Sarah Diana Meier: The Right Derived Functors of Ordinary Parts

Number theory seminar by Sarah Diana Meier (University of Bielefeld)

Uni60+: Neue Technologien – Folgen für Beschäftigung und Qualifikation

Erfahren Sie, wie neue Technologien den Schweizer Arbeitsmarkt verändern und welche Kompetenzen künftig wichtig sein werden.

Change in Emotional Arousal Variance in Clients with Borderline Personality Disorder during a Brief Psychiatric Treatment

Talk by Dr. Loris Grandjean, University Institute of Psychotherapy (CHUV)

Aufstieg und Fall "unserer" Nachkriegsordnung

Vom Aufbau der internationalen Ordnung nach 1945 bis zu ihrer heutigen Erosion: Welche Zukunftsperspektiven für unsere Welt?

KidsUni : La violence, c'est quoi ? Comprendre et réagir

Qu'est-ce que la violence, comment la reconnaître et réagir face à elle? Cherchons ensemble.

Alberto Angurel Andrés: Kolyvagin systems and Fitting ideals of Selmer groups of rank 0

Number theory seminar by Alberto Angurel Andrés (University of Nottingham)

Uni60+: Frage-Antwort-Runde zu Zoom

Sie haben Fragen zum Computerprogramm Zoom? Nutzen Sie dieses technische Atelier, um Zoom zu testen und Ihre Fragen zu stellen.

Alumni City Tour: Zug

Alumni Networking-Event
Haben Sie Lust, die Stadt Zug einmal anders zu entdecken? Dann nehmen Sie an unserer City Tour teil, geleitet von…

Understanding hallucinations across the spectrum of schizophrenia: from schizotypy to psychosis

Talk by Mélodie Derome, University of Bern

Matterhorn Symposium on behavior, institutions and cooperation

The Matterhorn Symposium aims at connecting behavioral and experimental economists in Switzerland with international colleagues. The symposium focuses…

Im Namen des Kreuzes: Schweizer Missionar:innen in der kolonialen Welt

Tausende Schweizerinnen und Schweizer missionierten im 19. und 20. Jahrhundert in kolonialen Gebieten. Ermöglicht wurde dies durch breitangelegte…

Tops & Flops d'Alumni en histoire et économie

Profitez de votre pause de midi pour vous faire inspirer par l’histoire de Michel-Eric Lamon, alumnus en histoire et économie d’UniDistance Suisse !…

Femmes et hommes face à l’effort : des besoins nutritionnels différents ?

Dans ce webinaire, Dr Maaike Kruseman soulignera l’importance des spécificités féminines en nutrition.

Universality in Random Graphs

Talk by Serte Donderwinkel, University of Gronigen

Alumni City Tour: Lausanne

Avez-vous envie de découvrir sous un autre jour la ville de Lausanne cet été ? Alors participez à notre City Tour donné par Chiara Marinoni Vacacela,…

Programmieren leicht gemacht – Kinder lernen von Kindern!

Ferienkurs Lego-Roboter bauen und programmieren.

Bauen, Codieren, Programmieren – Spass haben.

Journée valaisanne de droit pénal 2025

La Faculté de droit d’UniDistance Suisse a l’honneur de vous inviter à la première édition de la Journée valaisanne de droit pénal.

Webinar: Wie ein Shrimp im Home-Office? – Vortrag zu muskuloskelettaler Gesundheit bei der Arbeit

 

Gesunde Muskeln & Gelenke im Arbeitsalltag – Home-Office inklusive!


Im CAS Arbeitspsychologie: Gesundheit und Produktivität gehen wir den…

Uni60+ : Autobahn gestern und heute – Exkursion im Pfynwald auf den Spuren der A9

Erleben Sie das Zusammenspiel von Strassenbau und Natur am Beispiel der Autobahn A9, bei einem geführten Spaziergang im Pfynwald.

Uni60+ : Wie funktioniert eigentlich ein KI-Chatbot?

KI-Chatbots interagieren mit uns, doch was steckt dahinter? Lernen Sie die Funktionsweise intelligenter Sprachmaschinen kennen.

Alumni City Tour: Fribourg

Avez-vous envie de découvrir sous un autre jour la ville de Fribourg ? Alors participez à notre City Tour donné par Angélique Rudaz, alumna du CAS en…

Se comprendre pour mieux accompagner son équipe

Comment développer l’intelligence émotionnelle dans votre organisation?

Les compétences émotionnelles sont la clé d’une gestion d’équipe réussie.

Accessiblity in Higher Education : Conference & Workshop

The first event initiated by this EDIA group will focus on a key aspect to be taken into account in distance learning: accessibility. This event is…

Computational Reproducibility Hackathon

The Computational Reproducibility Hackathon of the SwissRN working group on Computational Reproducibility is taking place on June 6, 2025 at FernUni…

Alumni-Jahrestreffen: Don’t worry, be funny!

Das Alumni Jahrestreffen findet dieses Jahr in Zürich statt unter dem Motto „Don’t worry, be funny!“.

EADTU Staff Training Event - Support Services in Open & Distance Education

EADTU is hosting a two-day Staff Training Event dedicated to enhancing support services in Open and Distance Teaching Universities.

Démêler le vrai du faux : comprendre les fake news à travers l’histoire et les médias

Ce webinaire vous propose une plongée passionnante dans l’histoire de la manipulation de l’information.

Protester contre la discrimination au travail ?

Découvrez le rôle moteur des femmes dans la lutte pour l'amélioration des conditions de travail, dans le passé comme aujourd'hui.

Uni60+ : Schlaf als Lebenselixier

Dieses Webinar gibt Einblick in die jüngsten Erkenntnisse rund um das Thema Schlaf und klärt dabei verbreitete Fehlannahmen auf.

Émergences d'un autre gaming global - Champs/contrechamps des enjeux contemporains du jeu vidéo

 

Dans cette conférence, Mehdi Derfoufi proposera d'aborder le jeu vidéo contemporain en confrontant les représentations dominantes et les…

Témoigner, écrire, commémorer: quels récits pour l’histoire des enfants placé-e-s?

Participez à cette table ronde avec la présence de Stéphanie Glassey, écrivaine, Dr Aurore Müller, historienne et post-doctorante à UniDistance…

Pretty people, petty cash: Candidate Attractiveness, Trustworthiness, and Political Donations

Talk by Amanda Friesen (University of Western Ontario, Canada) & Tobias Rohrbach (University of Bern)

KinderUni: Schnick, Schnack, Schnuck: Spielend das Verhalten erforschen

Mit welcher Strategie erhalte ich die meisten Süssigkeiten? Wieviel ist uns Fairness wert? Wann scheuen wir das Risiko?

Multivariate cryptography and the hardness of polynomial system solving

Talk by Elisa Gorla, Université de Neuchâtel

Uni60+ : Die etwas andere Geschichte der Autobahn

Hören Sie in diesem Webinar, wie seit 1950 oppositionelle Kräfte auf die Entwicklung des Schweizer Autobahnnetzes Einfluss nehmen.

Inégalités dans les rôles de direction

Ce webinaire vous invite à réfléchir sur la façon dont notre identité sociale influence nos représentations du leadership.

Apprenez à apprivoiser votre stress !

Et si le stress devenait un allié plutôt qu’un obstacle dans votre quotidien ? Et si vous parveniez à le dompter et à le calmer ?

Pratiques de chasse et représentations animales: Perspectives croisées sur la relation humain-animal

À travers un format interactif et dynamique, les intervenant-es discuteront de leurs parcours personnels et de la manière dont ceux-ci les ont…

Leçon inaugurale: Pour une histoire politique des multinationales

Prof. Dr Sabine Pitteloud présentera son agenda de recherche qui porte sur les multinationales et leur rôle politique.

Alimentation anti-inflammatoire: comment faire le tri parmi les injonctions?

 

Ces dernières années, l'alimentation anti-inflammatoire est devenue une tendance incontournable et d'innombrables conseils alimentaires destinés à…

KidsUni : À quoi sert mon cerveau ?

Découvrons comment notre cerveau fonctionne et comment il produit et contrôle nos comportements et nos souvenirs.

Kalter Krieg auf Schweizer Eisfeldern: Eishockey und Geopolitik seit 1945

 

Der Kalte Krieg wurde nicht nur im Rüstungswettlauf, Stellvertreterkriegen, wirtschaftlichen und technologischen Wettkampf ausgefochten,…

Uni60+ : Recht auf ein würdiges Alter - Altersdiskriminierung im Fokus

In diesem juristischen Webinar lernen Sie Altersdiskriminierung besser zu erkennen und wie Sie bei Bedarf dagegen angehen können.

Une histoire des films et des festivals de film de montagne entre les Alpes et les Rocheuses

Comment les films d’alpinisme ont aidé à construire l’image de l’«homme de montagne»? Une analyse entre masculinité, révolutions techniques et…

KinderUni : Mit Spielen die Welt der Gefühle kennenlernen

Wozu haben wir Gefühle? Wie zeigen wir Gefühle? Und wie lernen wir, mit unseren Emotionen umzugehen?

De la discrimination à l’inclusion dans le droit du travail

Apprenez dans ce webinaire ce qu'il faut entreprendre pour que nous puissions atteindre plus d'égalité et d'inclusion au travail.

Area-preserving transformations and symplectic geometry

Talk by Sobhan Seyfaddini, ETHZ

Abstract : In an influential article from the 1970s, Albert Fathi, having proven that the group of compactly…

Mapping Goals: How the hippocampus shapes temporal memory

Invited Speakers – Faculty of Psychology

Talk by Dr. Alison Montagrin - Schwartz Lab, Geneva

Uni60+ : Digitale Kompetenzen und Alter(n)

Analog war gestern oder doch nicht? Erfahren Sie in diesem Webinar, wie es um die digitalen Fähigkeiten der ü50-Jährigen steht.

Uni60+ : Frage-Antwort-Runde zu Zoom

Sie haben Fragen zum Computerprogramm Zoom? Nutzen Sie dieses technische Atelier, um Zoom zu testen und Ihre Fragen zu stellen.

Critical studies of education and technology: an invitation to connect - Problematising education and digital technology

 

You are invited to join us for a Swiss academic meeting on the theme’ Problematising education and digital technology’. This event is…

Uni60+ : Einführung in die Nutzung von Zoom

In diesem technischen Atelier wird Ihnen der Einstieg und Umgang mit dem Computerprogramm Zoom vor Ort in Brig gezeigt.

Gut schlafen, gesund essen, genug trinken!

 

Alumni-Workshop


Die Säulen einer langfristigen Gesundheit und des Wohlbefindens sind eine ausgewogene Ernährung und ausreichender Schlaf.…

KinderUni: Strafe muss sein! – Muss Strafe (immer) sein?

Der Spruch «Strafe muss sein» ist uns allen ein Begriff. Aber ganz so einfach ist es im Strafrecht dann eben doch nicht.

KidsUni : Mais d'où vient le cacao dans le chocolat suisse ?

Et comment sont apparus les premiers zoos ? Sur les traces du colonialisme suisse.

Uni60+ : Workshop Rettungsmedizin

Jeder Mensch kann Leben retten! Hören Sie von den Erfahrungen eines Notfallmediziners und üben Sie die wichtigsten Rettungsmanöver

Webinar: The Future of Work: How Data Science is Shaping Careers and Jobs

 

In this webinar, we will discuss how data science is influencing the future of work, reshaping essential workflows and opening up new…

L’art d’une bonne (et d’une mauvaise) infographie

En quoi consiste réellement une infographie ? Qu’est-ce qui en fait une bonne ou une mauvaise ?

Webinar: Macht KI uns dumm? 

Was passiert eigentlich, wenn wir kreative Aufgaben an KI auslagern?

Uniform Approximation of the Smallest Eigenvalue of a Large Parameter-Dependent Hermitian Matrix

 

Talk by Emre Mengi, Koc University

We consider the uniform approximation of the smallest eigenvalue of a large parameter-dependent…

D’un «cercle utopiste international» aux «oublié·es»: Vers une histoire contrastée des années 1950 à 2000

Discussion autour des ouvrages de Dr Audrey Bonvin et Dr Aurore Müller

Les années 1950 à 2000 sont celles de tous les contrastes en Suisse. Au moment…

Uni60+ : Praktische Anwendungen von künstlicher Intelligenz

Erfahren Sie in diesem Webinar mit angewandten Beispielen, wie sich künstliche Intelligenz in unseren Alltag integrieren lässt.

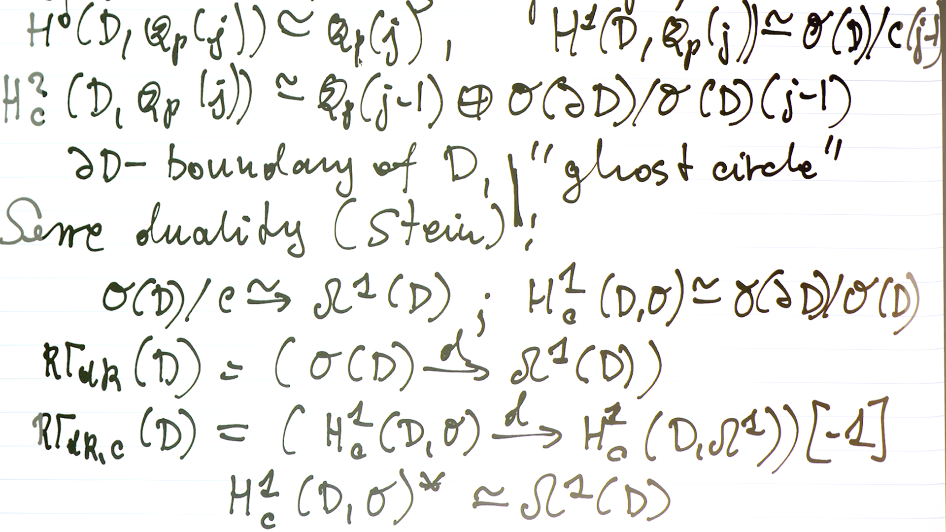
Inaugural Lecture : The Legacy of Fermat's last Theorem

By Prof. Dr David Loeffler

Noncognitive Influences on Mathematical Cognition: Insights from Research on Motor Skills, Emotions, and Learning Environments

Invited Speakers – Faculty of Psychology

Venera Gashaj

Rencontre annuelle des Alumni

Une fois par an, le réseau Alumni organise à Lausanne une rencontre en présentiel qui permet aux Alumni d’UniDistance Suisse de réseauter avec les…

Uni60+ : Psychische Widerstandskraft im Alter

Aktuelle Studienergebnisse zeigen, dass eine hohe Widerstandsfähigkeit in älteren Menschen steckt. Mehr dazu in diesem Webinar.

The impact of Multisensory Cues on Cognition and Learning in Children with and without Sensory Impairments

Invited Speakers – Faculty of Psychology

Julia Föcker, School of Psychology, Sport Science and Wellbeing, University of Lincoln, UK

Ein Tag in der Forschung an der FernUni Schweiz 2024

Wie sieht der Arbeitstag von Forschenden aus? Was tun sie? Mit wem arbeiten sie zusammen? Und was wird überhaupt erforscht?

The intricate relations of humor in intergroup situations

Invited Speakers – Faculty of Psychology

Prof. Dr. Jamie Gloor PhD, University of St. Gallen

KinderUni: Woher kommt der Kakao in der Schweizer Schokolade?

Wie entstanden die ersten Zoos? Woher kommt der Kakao? Wir begeben uns auf die Spuren des Schweizer Kolonialismus.

Ausdruckskraft Stimme! Präsenz und Überzeugung fördern

Wie wirkt Ihre Stimme bei der Arbeit oder im Privatleben? - Und was können Sie dazu beitragen, den Grad Ihrer Wirksamkeit zu erhöhen?

Random graphs as models of quantum disorder

 


Talk by Antti Knowles, Université de Genève

A disordered quantum system is mathematically described by a large Hermitian…

Cognitive Processes of Time-Based Prospective Memory

 



Swiss Number Theory Days 2024

The Swiss Number Theory Days will be held on the 11th and 12th of October 2024 at UniDistance Suisse in Brig (Wallis).

Alumni City Tour: Vevey

 

Evénement de réseautage Alumni

Avez-vous envie de découvrir sous un autre jour la ville de Vevey cet automne ? Alors participez à notre…

L’or roumain et la Russie, un lourd héritage de la Grande Guerre (1916- 1956)

 

En décembre 1916, le gouvernement roumain, face à l’avancée des armées allemande et austro-hongroise, décide d’envoyer à Moscou les…

Uni60+ : Quantentheorie und Realität

Gibt es unendlich viele Welten, die sich parallel zu der unseren entwickeln? Kleinste Elementarteilchen geben Anhaltspunkte dazu.

KidsUni : Les enfants face à la violence - comprendre et réagir

Qu'est ce que la violence, comment la reconnaître et réagir face à elle ? Découvrons-le ensemble.

Uni60+ : Frage-Antwort-Runde zu Zoom

Sie haben Fragen zum Computerprogramm Zoom? Nutzen Sie dieses technische Atelier, um Zoom zu testen und Ihre Fragen zu stellen.

Grüne und Blaue Raumkonzeptionen

 

Das Ende des Zweiten Weltkrieges stellte Städteplanende in den Hafenstädten Hamburg und Marseille vor eine Vielzahl von…

Uni60+ : Einführung in die Nutzung von Zoom

In diesem technischen Atelier wird Ihnen der Einstieg und Umgang mit dem Computerprogramm Zoom vor Ort in Brig gezeigt.

Ergonomischer Arbeitsplatz – Ihr Schlüssel zu Produktivität und Wohlbefinden!

Haben Sie sich schon einmal gefragt, wie Sie Ihre Arbeitsumgebung optimieren können, um produktiver zu sein und Gesundheitsprobleme zu vermeiden?

Prenez des décisions financières intelligentes dans un monde globalisé !

Vous êtes-vous déjà demandé comment utiliser les marchés financiers mondiaux pour atteindre vos objectifs financiers ?

Journée de l’enseignement à UniDistance Suisse 2024

 

La journée de l’enseignement à UniDistance Suisse offre l’occasion d’échanger entre pairs, et avec des expert-e-s et le personnel des…

Tag der Lehre 2024

 

Der Tag der Lehre der FernUni Schweiz bietet die Möglichkeit, sich unter Gleichgesinnten, mit Expertinnen und Experten sowie den…

KinderUni: Die Welt der Geheimnachrichten

Wie verschlüsselt man Geheimnachrichten mit Mathematik zu einem Geheimtext und wie entschlüsselt man sie wieder?

Les régimes au féminin

Le nombre d'individus « au régime » n’a jamais été aussi élevé. C’est logique, pourrait-on penser, il n’y a jamais eu autant d’obésité et de surpoids…

Statue, die die Gerechtigkeit als Frau mit verbundenen Augen die eine Waage hält darstellt

Journée juridique valaisanne: actualités procédurales et de droit matériel

Actualités procédurales et de droit matériel - co-organisé avec les Jeunes barreau et notariat valaisans

Alumni City Tour: Luzern

Haben Sie Lust, die Stadt Luzern diesen Sommer von einer anderen Seite kennenzulernen? Dann nehmen Sie an unserer City Tour teil!

Alumni City Tour: Sion

Avez-vous envie de découvrir sous un autre jour la ville de Sion cet été ? Alors participez à notre City Tour !

They just don't have the right agile mindset!

 

Surely most people have heard the following sentence: "They just don't have the right agile mindset!". But what exactly is behind this…

Uni60+ : Führung in der ENTER Technikwelt Solothurn

In dieser Sonderveranstaltung erleben Sie die Enter Technikwelt Solothurn hautnah während einer persönlichen Führung.

Uni60+ : Nudge und Sludge – Entscheidungsarchitekturen und Entscheidungen

Der Mensch kann zwar tun, was er will, aber können wir entscheiden, was oder wie wir wollen? Dieses Webinar gibt Aufschluss.

Wie wir arbeiten und wie es uns geht

 

Die Arbeit ist ein wichtiger Bestandteil des Lebens und dabei spielt die Gesundheit für Arbeitnehmende, Arbeitgebende sowie für…

Excellence through diversity: Enhancing Learning through inclusive practices

This event will help you gain practical insights and innovative strategies to enhance accessibility and inclusion within your modules.

FernUni Schweiz Alumni-Jahrestreffen

Einmal im Jahr organisiert das Alumni-Netzwerk ein Präsenztreffen, das den Alumni der FernUni Schweiz die Möglichkeit gibt, sich mit anderen Alumni…

Outsourcing memory to the external environment: Cognitive offloading, value-based decision making, and metacognition

Invited Speakers – Faculty of Psychology

Talk by Prof. Sam Gilbert, University College London

How to Improve Small Firms' Payroll Tax Compliance? Evidence from a Randomized Field Experiment

Talk by Jan Schmitz, Radboud University, Nijmegen

Hard Lefschetz theorem and Hodge-Riemann relations for convex valuations

 

Talk by Andreas Bernig, Goethe Universität Frankfurt

The so-called Kähler package consists of a Poincaré duality, a hard Lefschetz theorem…

2nd Brig Workshop on Dissipativity in Systems and Control

The workshop will take place in the assembly hall of the new campus building of UniDistance Suisse and Fernfachhochschule Schweiz (Schinerstrasse 18,…

Arithmetica Transalpina 2024

This is the second meeting of the Arithmetica Transalpina, a joint Number Theory seminar between ETH Zürich, UniDistance Suisse and the Universities…

Mind the Gap ? – Exploring the effect of boredom and procrastination on everyday memory

Invited Speakers – Faculty of Psychology

Talk by Maximilian Haas

Uni60+ : Künstliche Intelligenz – eine kurze Einführung

Mittels einfach zugänglichen Beispielen werden in diesem Webinar die mathematischen Grundideen der künstlichen Intelligenz erklärt

Tops & Flops Alumni in Recht – Tarik Kapic

Nutzen Sie Ihre Mittagspause und lassen Sie sich von Tarik Kapic’s Geschichte inspirieren!

Skill-Biased Inequality, Market Luck, and Redistributive Preferences

Structural transformations caused by globalization and technological change substantially change the rewards of different skills in the labor market.

Les multinationales suisses comme objet et acteur politique après 1945

En décembre 2020, les Suisses votaient sur l'initiative populaire "pour des multinationales responsables". Cet épisode récent a rappelé que la…

Table Ronde Etudiants (TRAIN) - Santé mentale, études et numérique : Quelle(s) déconnexion(s) possible(s) ?

Étudiant·e·s, le stress lié à tes études te pèse ? Tu te questionnes sur l’impact du numérique dans ta formation et ta vie privée ? Tu aspires à…

Schädelvermessungen und Augenfarbenbestimmungen: Entwicklung der "Rassen"-Anthropologie im 19. Jahrhundert

Prof. Dr. Christina Späti und Sophie Küsterling geben Einblick in Ihre historischen Recherchen und wissenschaftlichen Auslegungen zur Entwicklung der…

KinderUni: Mit Brettspielen die Welt der Gefühle kennenlernen

Wozu haben wir Gefühle? Wie zeigen wir Gefühle? Wie erkennen wir Gefühle? Warum verlieren wir manchmal die Kontrolle über unsere Emotionen? Und wie…

Saddle-Point Problems in Computational and Fracture Mechanics: modeling and efficient solution

Talk by Talk by Marco Favino, USI and lecturer at UniDistance Suisse

Uni60+ : Die eigene Vorsorge im Erwachsenenschutzrecht

Autonomie und Selbstbestimmung: Welche Möglichkeiten das Erwachsenenschutzrecht im Zusammenhang mit der Selbstvorsorge bietet.

Sounds of Healthy Aging: Cognitive activities of older adults in the real world

Invited Speakers – Faculty of Psychology

Talk by Dr. Burcu Demiray, University of Zurich

Apprenez à produire un podcast ! - COMPLET

Lors de ce workshop en ligne organisé par le réseau Alumni, Maé Biedermann, producteur de podcast, vous apprendra les bases de la production d’un…

Counterfactual Predictions in Shared Markets: A Global Forecasting Approach with Deep Learning and Spillover Considerations

We introduce a novel forecasting method employing global deep learning models for estimating the causal effects of interventions across multiple…

Debate : Can activists change business for good?

This debate brings together scholars and practitioners to explore and discuss the complex relationships between business, activists and regulators at…

Conference Monica Ward: "Interactive oral assessment"

Conference and workshop by Dr. Monica Ward, Dean of Teaching at Learning at Dublin City University (DCU).

CV-Checks für Alumni

Haben Sie sich schon einmal gefragt, wie Sie Ihren Lebenslauf verbessern können?

CV-Checks für Alumni

Haben Sie sich schon einmal gefragt, wie Sie Ihren Lebenslauf verbessern können?

An overview of the effects of physical exercise on the brain (and prospectively on sleep)

Invited Speakers – Faculty of Psychology

Talk by Kinga Ingloi

Uni60+ : Die Welt der sozialen Medien – Vorzüge und Gefahren

Erfahren Sie in diesem Webinar, welche Vorteile und Chancen soziale Medien bieten und wie Sie verantwortungsvoll mit ihnen umgehen

Federn, Amulette und Schädel: Koloniale Sammlungen in der Schweiz

In der Schweiz befinden sich zahlreiche Sammlungen mit Gegenständen, die aus ehemaligen Kolonialgebieten stammen. Forschende, Missionar/innen,…

Uni60+ : Individuelle Frage-Antwort-Runde zu Zoom

Sie haben Fragen zum Computerprogramm Zoom? Nutzen Sie dieses technische Atelier, um Zoom zu testen und Ihre Fragen zu stellen.

Uni60+ : Einführung in die Nutzung von Zoom - Teilnahme geschlossen

In diesem technischen Atelier wird Ihnen der Einstieg und Umgang mit dem Computerprogramm Zoom vor Ort in Brig gezeigt.

KinderUni: Schnick, Schnack, Schnuck: Spielend das Verhalten erforschen

Mit welcher Strategie erhalte ich die meisten Süssigkeiten? Welche Rolle spielt dabei das gegenseitige Vertrauen? Wieviel ist uns Fairness wert? Wann…

Uni60+ : Einführung in die Nutzung von Zoom

In diesem technischen Atelier wird Ihnen der Einstieg und Umgang mit dem Computerprogramm Zoom vor Ort in Brig gezeigt.

Maintaining brain health across the lifespan

Invited Speakers – Faculty of Psychology

Talk by Dr. Isabel García García, University of Lausanne

Leadership: les bases d'une bonne collaboration en équipe

Workshop carrière Alumni

De quelles compétences un bon leader a-t-il besoin ? Qu'attendez-vous personnellement d'un bon leader ?

Jusqu'à présent et…

Uni60+ : Hello Goodbye: Vom Anfang und Ende technischer Geräte

Dieser Vortrag beleuchtet die Anfänge neuer Technologien und zeigt auf, wie wir heute mit veralteten Geräten umgehen können.

KinderUni: Strafe muss sein! – Muss Strafe (immer) sein?

Der Spruch «Strafe muss sein» ist uns allen ein Begriff. Aber ganz so einfach ist es im Strafrecht dann eben doch nicht.

Motivation According to Self-Determination Theory: Theoretical and Applied Perspectives

Invited Speakers – Faculty of Psychology

Talk by Dr Julien Chanal, SDT Geneva Center, Université de Genève

Ajuster la nutrition aux spécificités des athlètes féminines

 

Alors qu'enfin les règles et le cycle menstruel ne sont (presque) plus un tabou dans le sport, les recommandations en matière de…

KinderUni: Geschichten über das Wallis erforschen

Woher wissen wir, was in der Vergangenheit passiert ist? Was können wir aus der Geschichte lernen?

Uni60+ : Sicher und selbstbewusst: Online-Kompetenz im Internet

Wissenswertes zu IT-Sicherheit: Dieses Webinar gibt Ihnen Werkzeuge an die Hand, um sich sicher in der digitalen Welt zu bewegen.

Institution vs. Behavior: Robustness of Continuous Double Auction Market Outcomes to Noisy Implementation of Four Key Rules

Shyam Sunder from Yale University will present his paper on “Institution vs. Behavior: Robustness of Continuous Double Auction Market Outcomes to…

Entwicklung von ChatGPT: GPT-4 Turbo Vision entdecken

Generative KI wird laufend weiterentwickelt. Für den aktuell prominentesten Vertreter, ChatGPT, wurden in den letzten Monaten zahlreiche Neuerungen…

Rencontre annuelle des Alumni

Une fois par an à Lausanne, le réseau Alumni organise une rencontre qui permet aux Alumni d’UniDistance Suisse de réseauter avec les étudiant-e-s et…

[Thematic day] Penser et intégrer le jeu vidéo dans sa pratique enseignante

Studying visual memory in older adults

Invited Speakers – Faculty of Psychology

Talk by Pauline Berthouzoz

Évolution de ChatGPT : explorez le potentiel de GPT-4

 

Symbole de l’IA dans la formation, ChatGPT évolue constamment. Les nouvelles capacités du logiciel (possibilité de traiter des images, de…

Affectivism and the emotional brain

Invited Speakers – Faculty of Psychology

Talk by Prof. David Sander, UNIGE

Uni60+ : Gedächtnisleistungen optimieren

Was kennzeichnet ein gutes Gedächtnis und wie können wir optimal und nachhaltig lernen? Erfahren Sie es in diesem Webinar.

Uni60+ : Individuelle Frage-Antwort-Runde zu Zoom

Sie haben Fragen zum Computerprogramm Zoom? Nutzen Sie dieses technische Atelier, um Zoom zu testen und Ihre Fragen zu stellen.

Power, effort investment, and efficiency

Invited Speakers – Faculty of Psychology

Talk by Prof. Petra Schmid, ETH Zürich

Ein Tag in der Forschung an der FernUni Schweiz 2023

Nationaler Zukunftstag

Wie sieht der Arbeitstag von Forschenden aus? Was tun sie? Mit wem arbeiten sie zusammen? Und was wird überhaupt erforscht?

Unser Beziehungsstatus mit dem Geld: It’s complicated !

 

Alumni Vortrag

Für die einen ist viel Geld zu besitzen gleichbedeutend mit Glück, anderen ist es eher unangenehm und manchen fällt es…

Uni60+ : Einführung in die Nutzung von Zoom

In diesem technischen Atelier wird Ihnen der Einstieg und Umgang mit dem Computerprogramm Zoom vor Ort in Brig gezeigt.

Uni60+ : Einführung in die Nutzung von Zoom - AUSGEBUCHT

In diesem technischen Atelier wird Ihnen der Einstieg und Umgang mit dem Computerprogramm Zoom vor Ort in Brig gezeigt.

SMS Fall Meeting : Swiss Geometry Day

The fall meeting of the Swiss Mathematical Society takes place on the UniDistance Suisse Campus in Brig in the form of a Geometry Day. Everyone is…

[Thematic day] Opportunities and Challenges of Virtual & Augmented Reality in Higher Education

Talk by Helmut Harbrecht

Talk by Helmut Harbrecht, University of Basel

UniDistance Suisse Mathematics Colloquium is a series of hour-long talks organised by the mathematics…

Exercise addiction : the dark side of automatic reactions toward exercise ?

Invited Speakers – Faculty of Psychology

Talk by Anaïs Quossi, Auxiliary research assistant, UniDistance Suisse

CV-Checks für Alumni - AUSGEBUCHT

Haben Sie sich schon einmal gefragt, wie Sie Ihren Lebenslauf verbessern können?

CV-Checks für Alumni - AUSGEBUCHT

Haben Sie sich schon einmal gefragt, wie Sie Ihren Lebenslauf verbessern können?

Unternehmenskultur – Kernelemente, Einflussfaktoren und Tools

 

Alumni-Career-Vortrag

Als wesentlicher Hebel wird Unternehmenskultur immer wichtiger und bleibt dennoch schwierig zu fassen. Sie umfasst…

Medien, Geschichte und Wahrheiten

Erfahren Sie, wie Medienarchive, basierend auf emotionalen Inhalten und dem Anspruch auf Wahrheit, die Vergangenheit auslegen.

KinderUni: Die Welt der Geheimnachrichten: Geheimnisse verschlüsseln und entschlüsseln

In der Vorlesung werdet ihr lernen, wie man Nachrichten auf verschiedene Weisen zu einem Geheimtext verschlüsselt und auch wieder entschlüsselt, um…

Synaesthesia as a Model System for Understanding Variation in the Mind and Brain

Invited Speakers – Faculty of Psychology

Talk by Jamie Ward, University of Sussex, UK

What Color are your 'I's? Synesthesia as a Tool to Study the World's Languages

Invited Speakers – Faculty of Psychology

Talk by Nicholas Root, University of Amsterdam

[Thematic day] Hybrid teaching and learning in Theory and Practice

Une histoire des autoroutes en Suisse : volonté politique, controverses et consensus

Ce webinaire abordera l’origine du réseau autoroutier suisse, ses oppositions et de leur prise en compte par les autorités.

Tops & Flops d’Alumni en psychologie

Partage d’expérience Alumni

Avec Nadège Mivelaz et Anne-Catherine Delafontaine, deux Alumni en psychologie d’UniDistance Suisse.

Comment prévenir la prise de poids à la ménopause?

Dr Maaike Kruseman se penchera avec vous sur les changements de composition corporelle et de poids liés à la ménopause.

Monday teaching lunches - cancelled

[Workshop] Designing Remote Assessments

Embodied Psychological Interventions: Can Virtual Body Transformations Improve Intergroup Relations?

Invited Speakers – Faculty of Psychology

Talk by Dr. Béatrice Hasler

Monday teaching lunches

[Scientific Seminar] Remote Exams in a Digital World

FernUni Schweiz Alumni-Jahrestreffen

Alumni-Networking-Event

Networking-Animationen, Vortrag von Isabell Dittmar zum Thema Die Emotionale Intelligenz in der Arbeitswelt und Aperitif.

Man watching a football game

Identität und ökonomische Anreize

Wie beeinflusst unsere Identität unsere Investitionsentscheidungen? Erfahren Sie in diesem Webinar, wie Forschende das Investitionsverhalten anhand…

UniDistance Suisse's building in Brig

The Direct and Indirect Effects of Online Job Search Advice

Talk by Prof. Steffen Altmann, University of Hohenheim and IZA

Stochastic Mirror Descent for Convex Optimization with Consensus Constraints

Talk by Panos Parpas, Imperial College London

UniDistance Suisse Mathematics Colloquium is a series of hour-long talks organised by the mathematics…

Femmes et alimentation: des croyances aux compétences

Ce webinaire pose un regard neuf sur l’alimentation des femmes: une alimentation compatible avec les contraintes d’une vie active.

[Thematic day] Apprentissage expérientiel et numérique

Grundlagen der Geldanlage

Alumni-Career-Workshop

Mit Désirée Dosch, Unternehmerin und Finanzexpertin.

 

Monday teaching lunches

Die Psychologie des Glücklichseins

Was bedeutet Glücklichsein und kann man es trainieren? Das und vieles mehr aus dem Bereich der Glücksforschung, erfahren Sie in diesem Webinar.

KinderUni: Mit Brettspielen die Welt der Gefühle kennenlernen

Wozu haben wir Gefühle? Können wir diese kontrollieren? Warum verlieren wir manchmal die Kontrolle über unsere Emotionen? Und wie lernen wir, mit…

Incivility at work

Invited Speakers – Faculty of Psychology

Talk by Prof. Dr. Laurenz Meier, University of Neuchâtel

Knots, Möbius bands, and inscribed rectangles

Talk by Peter Feller, ETH Zürich

UniDistance Suisse Mathematics Colloquium is a series of hour-long talks organised by the mathematics faculty. They…

UniDistance Suisse's building in Brig

Ethnic salience and discrimination

Talk by Prof. Sigrid Suetens, Tilburg University

Manger ses émotions: est-ce possible?

Sommes-nous capables de « manger nos émotions » ? Découvrez comment nos comportements alimentaires sont liés à nos sentiments.

[Webinar] Asynchrone Interaktionen während des Semesters fördern

Monday teaching lunches

[Webinar] Interaktionen an synchronen Lehrveranstaltungen fördern

CANCELLED - Prof. Dr. Paul Matusz, HES-SO Valais-Wallis

Invited Speakers – Faculty of Psychology

This event was cancelled.

UniDistance Suisse's building in Brig

It’s Payback time: New Insights on Cooperation in the Repeated Prisoners’ Dilemma

Talk by Prof. Maria Bigoni, Università di Bologna

Foule à un concert

Vous connaissez la chanson?

Échanges culturels et influences réciproques dans l’espace francophone à travers le cas de la chanson. Participez à cette conférence retransmise en…

Une femme examine un CV

CV Checks pour Alumni

Vous êtes-vous déjà demandé comment améliorer votre CV ? Obtenez un retour personnalisé de Patrick Constantin, responsable du service des ressources…

Une femme examine un CV

CV Checks pour Alumni

Vous êtes-vous déjà demandé comment améliorer votre CV ? Obtenez un retour personnalisé de Patrick Constantin, responsable du service des ressources…

Monday teaching lunches

[Webinar] Inverted Classrooms in Higher Education

Being certain but wrong: Compression of redundant information and the limits of seeing

Talk by Prof. Dr. Bilge, CNRS, University of Bern & University of Lille

Invited Speakers – Faculty of Psychology

Prof. Luis Santos Pinto: The Role of Overconfidence in Teamwork: Experimental Evidence

Talk by Prof. Luis Santos Pinto, University of Lausanne

[Thematic day] Integrating digital technologies in my teaching within the new spatial dimensions of learning spaces

Négocier pour des accords durables – une introduction

Vous êtes-vous déjà demandé comment améliorer vos compétences en négociation ?

Participez à notre workshop en ligne Alumni.

Monday teaching lunches

[Webinar] Aufzeichnung von synchronen Lehrveranstaltungen: Warum? Wie?

Kind und Karriere vereinen

Alumni-Career-Vortragsreihe «Familie-Karriere-Leben»

Im Workshop «Kind und Karriere vereinen» präsentiert Ihnen Monika Keller verschiedene…

Digital emotion competence : integrating emotional competence and digital skills

Invited Speakers – Faculty of Psychology

Talk by Dr. Catherine Audrin, HEP Vaud

Prof. Elliott Ash: Can Information Quality Explain Judge In-Group Bias? Evidence from Wisconsin Criminal Courts

Talk by Prof. Elliott Ash, ETHZ

How Paternalistic Preferences Shape the Welfare State: The Case of In-Kind Nutrition Assistance

Talk by Prof. Sandro Ambühl, University of Zurich

Rencontre annuelle des Alumni: l’intelligence artificielle et l’avenir du travail

Une fois par an, le réseau Alumni organise une rencontre en présentiel qui permet aux Alumni d’UniDistance Suisse de réseauter avec les étudiant-e-s…

Riemannian optimization methods for nonlinear eigenvector problems

Talk by Tatjana Stykel, University of Augsburg

UniDistance Suisse Mathematics Colloquium is a series of hour-long talks organised by the mathematics…

Magst du gute Geschichten? Super, dann lass sie uns kreieren!

Schon vor tausenden von Jahren wurden Geschichten am Lagerfeuer erzählt. Geschichten wurden offline auf dem Markt, im Dorf oder in Reiseberichten…

Ein Tag im Leben einer Professorin an der FernUni Schweiz

Nationaler Zukunftstag

Wie sieht ein Arbeitstag einer Professorin aus? Was tut sie? Woran forscht sie? Mit wem arbeitet sie zusammen?

Work without Economic Growth? Workers’ Protection in a Greener and Fairer Economy

New economic theories depart from the economic growth model that consists in stimulating consumption and production in order to create jobs.…

Die Welt der Geheimnachrichten: Geheimnisse verschlüsseln und entschlüsseln

Schon zur Zeit der Römer wurden geheime Nachrichten verschlüsselt, damit diese nur vom gewünschten Empfänger und nicht von anderen gelesen werden…

Strategien und Tools zur Konfliktlösung

In diesem vom Alumni-Netzwerk organisierten Impulsvortrag lernen Sie, Methoden und Tools zu verwenden, um Konflikte zu lösen und ein Unternehmen am…

Dynamisez votre profil et votre réseau sur LinkedIn !

Le réseau social LinkedIn est devenu indispensable en Suisse pour trouver un emploi et pour développer son réseau professionnel. Mais quels sont ses…

Les outils pédagogiques numériques dans le quotidien scolaire : top ou flop ?

La numérisation des écoles progresse à grands pas et les outils pédagogiques numériques sont de plus en plus utilisés. Mais quelles caractéristiques…

Digitale Lehrmittel im Schulalltag: Top oder Flop? Ein Fallbeispiel.

Die Digitalisierung der Schulen schreitet mit grossen Schritten voran und es werden vermehrt digitale Lehrmittel eingesetzt. Doch welche Eigenschaften…

Réaliser des films avec mon smartphone

Pour les enseignant-e-s d'UniDistance Suisse et de l'UNIL.

Quantitative estimates for geometric variational problems

Talk by Professor Melanie Rupflin, University of Oxford

UniDistance Suisse Mathematics Colloquium is a series of hour-long talks organised by the…

Perfektionieren Sie Ihre Bewerbung!

Alumni Career Workshop

Klimawandel und nachhaltiges Konsumverhalten

Eine aktive öffentliche Debatte, heisse Sommer und Naturkatastrophen wie Unwetter und Überschwemmungen oder auch die drohende Wasserknappheit haben in…

Enseigner les francophonies

Comment concilier dans un dispositif didactique les aspects linguistiques, politiques et littéraires de plusieurs cultures afin de développer des…

Image corporelle et comportement alimentaire des femmes plus âgées

Les liens entre insatisfaction corporelle et désordres alimentaires sont principalement étudiés chez les femmes jeunes ou d’âge moyen mais peu…

Buchvernissage - Der Notar im Kanton Wallis, Besonderer Teil

In Zusammenarbeit mit den Autor/innen Dr. Thierry Schnyder, Flurina Steiner, Fabienne Murmann, Deborah Guntern Volken, Samira Schnyder, Chantal…

FernUni Schweiz Alumni-Jahrestreffen

Alumni-Networking Event

Engagements CORONA : quel sort pour les militaires et les civil-e-s qui ont manqué à l’appel à la mobilisation ?

Durant la pandémie, le Conseil fédéral a autorisé à trois reprises la mobilisation de militaires (« engagements CORONA »), en appui aux autorités…

Workshop «Trends on dissipativity in systems and control»

The workshop will address recent progress on dissipativity in systems and control, including (but is not limited to):

 

the exploitation of…

Harmonic maps to singular spaces

Talk by Christine Breiner, Brown University

UniDistance Suisse Mathematics Colloquium is a series of hour-long talks organised by the mathematics…

Guerre en Ukraine : quel sort pour les citoyen-ne-s suisses engagé-e-s à l’étranger ?

Si la guerre en Ukraine génère un grand élan de solidarité dans notre pays, des citoyen-ne-s suisses sont aussi engagé-e-s dans le conflit en raison…

Le burnout ou le travail transformé

Souvent décrit comme la maladie du 21ème siècle et diversement défini, le burnout peine à sortir du flou de ses acceptations. Qu’entend-on exactement…

Les citoyen-ne-s devant la justice militaire

Souvent contestée, la justice militaire cohabite depuis longtemps avec la justice pénale ordinaire.

Data-driven modeling of dynamical systems: A systems theoretic perspective

Talk by Serkan Gugercin, Virginia Tech

UniDistance Suisse Mathematics Colloquium is a series of hour-long talks organised by the mathematics faculty.…

Congrès de mars 2022

Le Congrès de mars est l'événement suisse sur la numérisation dans l'éducation. Il examine de près les nouvelles technologies liées à l'apprentissage…

Märztagung 2022

Lernwelten in der digitalen Transformation – heute und in Zukunft.

Leadership: Die Grundlagen für erfolgreiche Mitarbeiterführung

Welche Fähigkeiten braucht eine gute Führungskraft im Jahr 2022?

Was erwarten Sie persönlich von einer guten Führungskraft?

Preparing and facilitating a collaborative online workshop

Série de webinaires : compétences numériques

 

ÉVÉNEMENT EN ANGLAIS

 

Collaborer avec succès en atelier à distance

Préparer et animer un atelier en…

"COMPLET" - Boostez vos candidatures !

Qu'est-ce qui fait que vous serez invité-e à un entretien d'embauche ?

Un bon dossier de candidature !

Wissen zum Znacht - Das Webinar zum revidierten Schweizer Datenschutzgesetz Vol. II

Outsourcing und Datenschutz

Tops & Flops einer Alumni in Geschichte – Claudia Luthiger

Alumni-Erfahrungsaustausch

Effectuer des recherches avancées sur internet

Les moteurs de recherche sont indissociables d’internet aujourd’hui. Sans eux il serait impossible de trouver des informations ciblées parmi les…

Savoir à l’emporter - Le webinaire sur la loi révisée sur la protection des données

L’information en protection des données personnelles sous ses différentes facettes.

Être créatif, innover au travail, mais pourquoi ?

Une fois par année, le réseau Alumni organise une rencontre en présentiel qui permet aux Alumni d’UniDistance Suisse de réseauter et de passer un…

Ein Blick in die Strafvollzugspsychologie

In Bezug zu Straftaten lässt sich die öffentliche Meinung, die insbesondere über (soziale) Medien repräsentiert wird, fast ausschliesslich durch das…

Machtteilung in der Politik: Lehren aus Schweizer Stimmrechtserweiterungen

«Democracy is government of the people, by the people, for the people». Abraham Lincoln, 1863

 

Wer zum Kreis der Stimmberechtigten gehört,…

Scientific machine learning of dynamical systems with operator inference and re-projection

Talk by Benjamin Peherstorfer, New York University

UniDistance Suisse Mathematics Colloquium is a series of hour-long talks organised by the…

Collaborer avec succès en atelier à distance

Les vidéo-conférences font maintenant partie de notre quotidien, que ce soit au travail, dans nos études ou même dans notre vie privée.

Réseauter efficacement en temps de crise

La crise sanitaire a chamboulé notre façon de réseauter : les poignées de main, les réunions de groupe en présentiel, les événements dans des salons…

The non-Abelian X-ray transform

Talk by Gabriel Paternain, University of Cambridge

UniDistance Suisse Mathematics Colloquium is a series of hour-long talks organised by the…

Développez votre charisme et gagnez en impact !

Le charisme est une qualité particulièrement valorisée dans le monde de travail. Très utile pour les collaboratrices et collaborateurs, cette qualité…

Perfektionieren Sie Ihre Bewerbung!

Alumni Career Workshop

Tops & Flops d’une Alumni en droit – Dao Nguyen

Profitez de votre pause de midi pour vous faire inspirer par l’histoire de Dao Nguyen !

Cette Alumni en droit d’UniDistance Suisse parlera avec…

Das positive Nein

«Ein «Nein» aus tiefstem Herzen ist besser und grösser, als ein «Ja», mit dem man gefallen oder – noch schlimmer – Ärger vermeiden will.»

Mahatma…

Online-Meetings: Ich ganz professionell! - auftreten, wirken, überzeugen

In diesem Webinar stärken Sie Ihre Online-Kommunikationsfähigkeit und erfahren, worauf Sie achten müssen, wenn Sie Web-Meetings leiten und sich und…

Personal Branding : construisez votre marque personnelle en ligne !

Construire une bonne image de marque personnelle en ligne est devenu incontournable dans le marché du travail.

Mit der Unsicherheit Freundschaft schließen – eine Ermutigung!

«Die Zukunft ist weit offen. Sie hängt von uns ab; von uns allen.»

Sir Karl Popper